Randale fürs BIP

Die Diskussionen über die Demonstration gegen die Schweizer Komplizenschaft am Genozid in Gaza vom 11.Oktober 2025 gehen weiter. Die Polizei will mit einer Öffentlichkeitsfahndung mutmassliche Straftäter identifizieren und für den Sachschaden von 600’000 CHF verantwortlich machen. Was in der Diskussion um diese Sachschäden oft vergessen geht, ist dass diese genau wie Waffenlieferungen, die Kosten von Umweltschäden, die Reinigung von Chemie-verseuchtem Trinkwasser ins Wachstum von unserem wunderschönen BIP einfliessen. Nicht nur das; betrachtet man die makroökonomische Funktion des Volkseinkommens

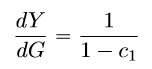
und differenziert nach den Staatsausgaben G,

erkennt man, dass sich das Volkseinkommen durch die erhöhten staatlichen Ausgaben nicht nur um 600.000 CHF erhöht, sondern um 1/(1-c1)*600.000 CHF, also ein vielfaches davon. Das liegt daran, dass all das Geld, das für die Reparaturen ausgegeben wird zuerst als Einkommen an die Handwerker usw. fliesst, diese damit Waren kaufen, die Produktion angekurbelt wird, dadurch wieder mehr Löhne ausgezahlt werden und wieder mehr gekauft wird. Der Effekt entfaltet sich so über mehrere Lohnrunden. So gesehen hat die Demonstration von Bern nicht nur das Einkommen der Glasereien, sondern von allen Schweizer*innen erhöht.